materi
DAFTAR ISI
1. Tujuan
[Kembali][Kembali]
[Kembali]
Analisis node berprinsip pada Hukum Kirchoff I/ KCL dimana jumlah arus yang masuk dan keluar dari titik percabangan akan samadengan nol, dimana tegangan merupakan parameter yang tidak diketahui. Atau analisis node lebih mudah jika pencatunya semuanya adalah sumber arus. Analisis ini dapat diterapkan pada sumber searah/ DC maupun sumber bolak-balik/ AC.
Beberapa hal yang perlu diperhatikan pada analisis node, yaitu :
- Tentukan node referensi sebagai ground/ potensial nol.
- Tentukan node voltage, yaitu tegangan antara node non referensi dan ground.
- Asumsikan tegangan node yang sedang diperhitungkan lebih tinggi daripada tegangan node manapun, sehingga arah arus keluar dari node tersebut positif.
- Jika terdapat N node, maka jumlah node voltage adalah (N-1). Jumlah node voltage
ini akan menentukan banyaknya persamaan yang dihasilkan.
3.1 Introduction
Setelah memahami hukum dasar teori sirkuit (hukum Ohm dan hukum Kirchhoff), kami sekarang siap untuk menerapkan hukum ini mengembangkan dua teknik yang kuat untuk analisis rangkaian: analisis nodal, yang didasarkan pada aplikasi sistematis dari hukum Kirchhoff saat ini (KCL), dan analisis mesh, yang didasarkan pada aplikasi yang sistematis hukum tegangan Kirchhoff (KVL). Kedua teknik itu sangat penting bahwa bab ini harus dianggap sebagai yang paling penting dalam Book. Oleh karena itu siswa didorong untuk memperhatikan dengan seksama. Dengan dua teknik yang akan dikembangkan dalam bab ini, kita dapat menganalisis setiap rangkaian linier dengan memperoleh seperangkat persamaan simultan itu kemudian dipecahkan untuk mendapatkan nilai arus atau tegangan yang diperlukan. Satu metode memecahkan persamaan simultan melibatkan aturan Cramer, yang memungkinkan kita untuk menghitung variabel rangkaian sebagai hasil bagi dari penentu. Itu contoh dalam bab ini akan menggambarkan metode ini; Lampiran A juga meringkas secara singkat hal-hal penting yang perlu diketahui pembaca untuk diterapkan Aturan Cramer. Metode lain untuk memecahkan persamaan simultan adalah dengan gunakan MATLAB, perangkat lunak komputer yang dibahas dalam Lampiran E. Juga dalam bab ini, kami memperkenalkan penggunaan PSpice untuk Windows, program perangkat lunak komputer simulasi sirkuit yang akan kita gunakan di seluruh teks. Akhirnya, kami menerapkan teknik yang dipelajari dalam hal ini bab untuk menganalisis rangkaian transistor.
3.2 Nodal Analysis
Analisis nodal menyediakan prosedur umum untuk menganalisis sirkuit menggunakan tegangan simpul sebagai variabel rangkaian. Memilih tegangan simpul bukannya tegangan elemen karena variabel rangkaian nyaman dan mengurangi jumlah persamaan yang harus dipecahkan secara bersamaan.
Untuk menyederhanakan masalah, kami akan menganggap di bagian ini bahwa sirkuit tidak mengandung sumber tegangan. Sirkuit yang mengandung sumber tegangan akan dianalisis di bagian selanjutnya.
Dalam analisis nodal, kami tertarik untuk menemukan tegangan simpul. Diberikan sirkuit dengan n node tanpa sumber tegangan, analisis nodal sirkuit melibatkan mengambil tiga langkah berikut.Langkah-langkah untuk Menentukan Tegangan Node:
1. Pilih satu simpul sebagai simpul referensi. Tetapkan voltase ke node yang tersisa. Tegangannya adalah direferensikan sehubungan dengan simpul referensi.
2. Terapkan KCL ke masing-masing node non referensi. Menggunakan Hukum Ohm untuk mengekspresikan arus cabang dalam bentuk simpul tegangan.
3. Memecahkan persamaan simultan yang dihasilkan untuk mendapatkan tegangan simpul tidak diketahui.
 
 
 
 
 
 
 
 
[Kembali]
Setelah memahami hukum dasar teori sirkuit (hukum Ohm dan hukum Kirchhoff), kami sekarang siap untuk menerapkan hukum ini mengembangkan dua teknik yang kuat untuk analisis rangkaian: analisis nodal, yang didasarkan pada aplikasi sistematis dari hukum Kirchhoff saat ini (KCL), dan analisis mesh, yang didasarkan pada aplikasi yang sistematis hukum tegangan Kirchhoff (KVL). Kedua teknik itu sangat penting bahwa bab ini harus dianggap sebagai yang paling penting dalam Book. Oleh karena itu siswa didorong untuk memperhatikan dengan seksama. Dengan dua teknik yang akan dikembangkan dalam bab ini, kita dapat menganalisis setiap rangkaian linier dengan memperoleh seperangkat persamaan simultan itu kemudian dipecahkan untuk mendapatkan nilai arus atau tegangan yang diperlukan. Satu metode memecahkan persamaan simultan melibatkan aturan Cramer, yang memungkinkan kita untuk menghitung variabel rangkaian sebagai hasil bagi dari penentu. Itu contoh dalam bab ini akan menggambarkan metode ini; Lampiran A juga meringkas secara singkat hal-hal penting yang perlu diketahui pembaca untuk diterapkan Aturan Cramer. Metode lain untuk memecahkan persamaan simultan adalah dengan gunakan MATLAB, perangkat lunak komputer yang dibahas dalam Lampiran E. Juga dalam bab ini, kami memperkenalkan penggunaan PSpice untuk Windows, program perangkat lunak komputer simulasi sirkuit yang akan kita gunakan di seluruh teks. Akhirnya, kami menerapkan teknik yang dipelajari dalam hal ini bab untuk menganalisis rangkaian transistor.
3.2 Nodal Analysis
Analisis nodal menyediakan prosedur umum untuk menganalisis sirkuit menggunakan tegangan simpul sebagai variabel rangkaian. Memilih tegangan simpul bukannya tegangan elemen karena variabel rangkaian nyaman dan mengurangi jumlah persamaan yang harus dipecahkan secara bersamaan.
Untuk menyederhanakan masalah, kami akan menganggap di bagian ini bahwa sirkuit tidak mengandung sumber tegangan. Sirkuit yang mengandung sumber tegangan akan dianalisis di bagian selanjutnya.
Dalam analisis nodal, kami tertarik untuk menemukan tegangan simpul. Diberikan sirkuit dengan n node tanpa sumber tegangan, analisis nodal sirkuit melibatkan mengambil tiga langkah berikut.Langkah-langkah untuk Menentukan Tegangan Node:
1. Pilih satu simpul sebagai simpul referensi. Tetapkan voltase ke node yang tersisa. Tegangannya adalah direferensikan sehubungan dengan simpul referensi.
2. Terapkan KCL ke masing-masing node non referensi. Menggunakan Hukum Ohm untuk mengekspresikan arus cabang dalam bentuk simpul tegangan.
3. Memecahkan persamaan simultan yang dihasilkan untuk mendapatkan tegangan simpul tidak diketahui.

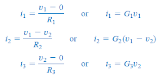
Kami dapat mengungkapkan prinsip ini sebagai



Langkah ketiga dalam analisis nodal adalah untuk memecahkan tegangan simpul.Jika kami menerapkan KCL ke node non referensi, kami mendapatkan secara bersamaan persamaan seperti Persamaan. (3.5) dan (3.6) atau (3.7) dan (3.8). Untuk sirkuit Gambar. 3.2, kita memecahkan Persamaan. (3.5) dan (3.6) atau (3.7) dan (3.8) untuk mendapatkan tegangan simpul dan menggunakan metode standar apa pun, seperti sebagai metode substitusi, metode eliminasi, aturan Cramer, atau inversi matriks. Untuk menggunakan salah satu dari dua metode terakhir, satu harus dilemparkan persamaan simultan dalam bentuk matriks. Misalnya, Persamaan. (3.7) dan (3.8) dapat dicetak dalam bentuk matriks sebagai 
3.3 Analisis Nodal dengan Sumber Tegangan 
Kami sekarang mempertimbangkan bagaimana sumber tegangan mempengaruhi analisis nodal. Kami menggunakan sirkuit pada Gambar 3.7 untuk ilustrasi. Pertimbangkan dua kemungkinan berikut.
- KASUS 1 Jika sumber tegangan dihubungkan antara simpul referensi dan simpul non-referensi, kita cukup mengatur tegangan pada simpul non-referensi yang sama dengan tegangan dari sumber tegangan. Pada Gambar 3.7, misalnya

- KASUS 2 Jika sumber tegangan (dependen atau independen) terhubung antara dua node non-referensi, dua node non referensi

membentuk simpul umum atau supernode; kami menerapkan KCL dan KVL untuk menentukan tegangan simpul.
         Supernode dibentuk dengan melampirkan (tergantung atau independen) sumber tegangan      terhubung antara dua node non-referensi dan apa saja elemen yang terhubung secara paralel dengannya.
         Pada Gambar 3.7, node 2 dan 3 membentuk supernode. (Kita bisa memiliki lebih banyak dari dua node membentuk supernode tunggal. Sebagai contoh, lihat sirkuit pada Gambar 3.14.) Kami menganalisis rangkaian dengan supernode menggunakan sama tiga langkah yang disebutkan di bagian sebelumnya kecuali bahwa supernode diperlakukan secara berbeda. Mengapa? Karena komponen penting analisis nodal menerapkan KCL, yang membutuhkan pengetahuan arus melalui setiap elemen. Tidak ada cara untuk mengetahui arus melalui sumber tegangan di muka. Namun, KCL harus puas di supernode seperti simpul lainnya. Oleh karena itu, di supernode pada Gambar. 3.7.

   Untuk menerapkan hukum tegangan Kirchhoff ke supernode pada Gambar 3.7, kami gambar ulang sirkuit seperti yang ditunjukkan pada Gambar 3.8. Keliling lingkaran di Arah searah jarum jam memberi

3.4 Mesh Analysis
      Analisis mesh menyediakan prosedur umum lain untuk menganalisis sirkuit, menggunakan arus mesh sebagai variabel rangkaian. Menggunakan arus jala bukannya arus elemen karena variabel rangkaian nyaman dan mengurangi jumlah persamaan yang harus diselesaikan secara bersamaan.Ingatlah bahwa loop adalah jalur tertutup tanpa simpul yang dilewati lebih dari sekali. Jala adalah loop yang tidak mengandung loop lain di dalamnya. 
     Analisis nodal berlaku KCL untuk menemukan tegangan yang tidak diketahui dalam suatu diberikan sirkuit, sedangkan analisis mesh berlaku KVL untuk menemukan arus yang tidak diketahui. Analisis mesh tidak cukup umum seperti analisis nodal karena itu hanya berlaku untuk sirkuit yang planar. Sirkuit planar adalah salah satunya dapat ditarik di dalam pesawat tanpa cabang saling bersilangan; jika tidak itu bukan rencana. Sebuah sirkuit mungkin memiliki cabang yang saling berhadapan dan diam menjadi planar jika dapat digambar ulang sehingga tidak memiliki cabang silang. Sebagai contoh, sirkuit pada Gambar 3.15 (a) memiliki dua cabang penyeberangan, tetapi dapat digambar ulang seperti pada Gambar 3.15 (b). Oleh karena itu, rangkaian pada Gambar 3.15 (a) adalah planar. Namun, rangkaian pada Gambar 3.16 adalah nonplanar, karena ada tidak ada cara untuk menggambar ulang dan menghindari persimpangan cabang. Sirkuit nonplanar dapat ditangani dengan menggunakan analisis nodal, tetapi mereka tidak akan dipertimbangkan dalam teks ini.
5. Gambar Rangkaian disini
[Kembali]
6. Link download disini
[Kembali]
 
 
 
Komentar
Posting Komentar